| Entry |
|
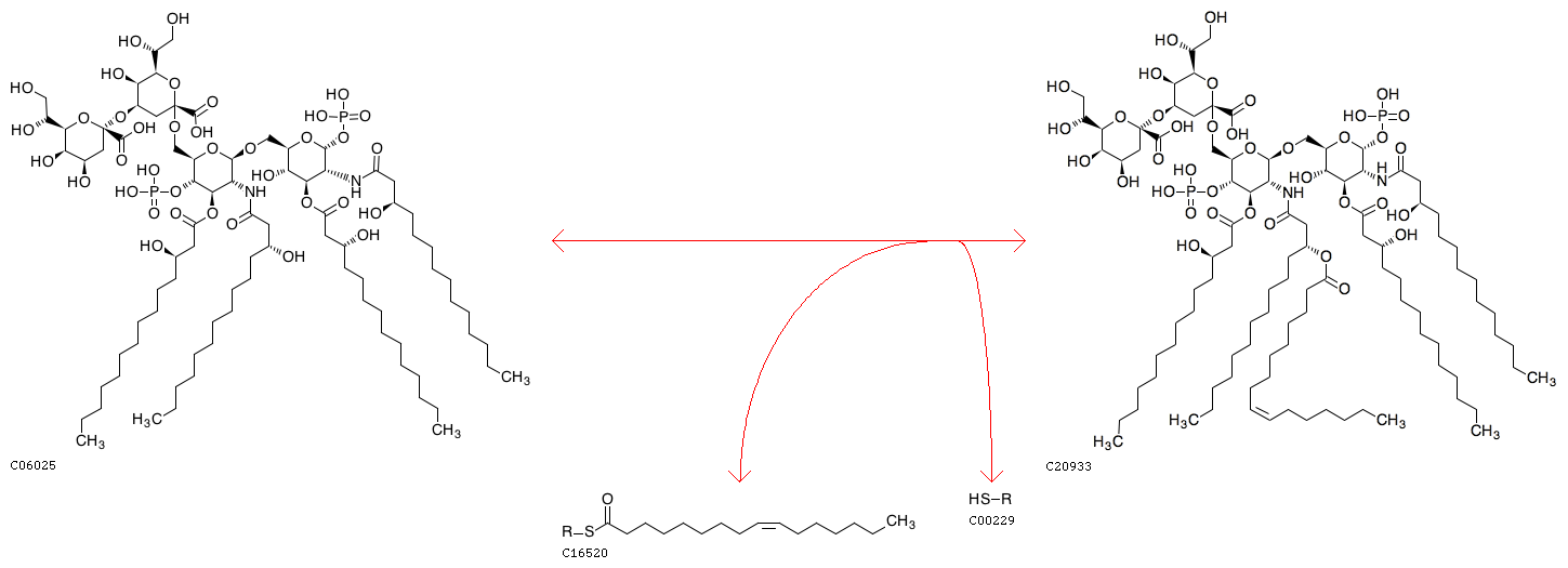
| Name |
(9Z)-hexadec-9-enoyl-[acyl-carrier protein]:KDO2-lipid IVA O-palmitoleoyltransferase
|
| Definition |
Hexadecenoyl-[acyl-carrier protein] + KDO2-lipid IVA <=> (9Z)-Hexadec-9-enoyl-KDO2-lipid IV(A) + Acyl-carrier protein
|
| Equation |
|
|
 |
| Reaction class |
|
| Enzyme |
|
| Pathway |
| rn00540 | Lipopolysaccharide biosynthesis |
|
| Brite |
Enzymatic reactions [BR:br08201]
2. Transferase reactions
2.3 Acyltransferases
2.3.1 Transferring groups other than aminoacyl groups
2.3.1.242
R10906 Hexadecenoyl-[acyl-carrier protein] + KDO2-lipid IVA <=> (9Z)-Hexadec-9-enoyl-KDO2-lipid IV(A) + Acyl-carrier protein
|
| Orthology |
|
| Other DBs |
|
| LinkDB |
|