KEGG   REACTION: R11155
Entry
R11155                      Reaction                               
Name
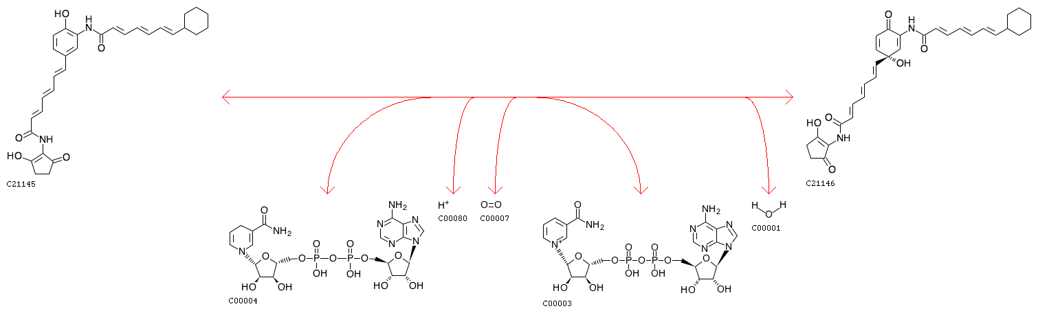
protoasukamycin,NADH:oxygen oxidoreductase (4-hydroxylating)
Definition
Protoasukamycin + NADH + H+ + Oxygen <=> 4-Hydroxyprotoasukamycin + NAD+ + H2O
Equation
Reaction class
RC00001  C00003_C00004
RC03375  C21145_C21146
Enzyme
Brite
Enzymatic reactions [BR:br08201]
 1. Oxidoreductase reactions
  1.14  Acting on paired donors, with incorporation or reduction of molecular oxygen
   1.14.13  With NADH or NADPH as one donor, and incorporation of one atom of oxygen into the other donor
    1.14.13.215
     R11155  Protoasukamycin + NADH + H+ + Oxygen <=> 4-Hydroxyprotoasukamycin + NAD+ + H2O
Other DBs
RHEA: 49047
LinkDB

DBGET integrated database retrieval system