KEGG   REACTION: R11385
Entry
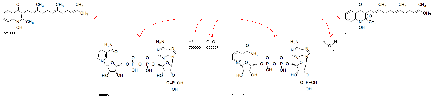
R11385                      Reaction                               
Name
aurachin C:NADPH:oxygen oxidoreductase (aurachin-C-epoxide-forming)
Definition
Aurachin C + NADPH + H+ + Oxygen <=> Aurachin C epoxide + NADP+ + H2O
Equation
Comment
the first step of two-step reaction (see R11383, R11385+R11386)
Reaction class
RC03423  C21330_C21331
Enzyme
Brite
Enzymatic reactions [BR:br08201]
 1. Oxidoreductase reactions
  1.14  Acting on paired donors, with incorporation or reduction of molecular oxygen
   1.14.13  With NADH or NADPH as one donor, and incorporation of one atom of oxygen into the other donor
    1.14.13.222
     R11385  Aurachin C + NADPH + H+ + Oxygen <=> Aurachin C epoxide + NADP+ + H2O
Other DBs
RHEA: 49011
LinkDB

DBGET integrated database retrieval system