| Entry |
|
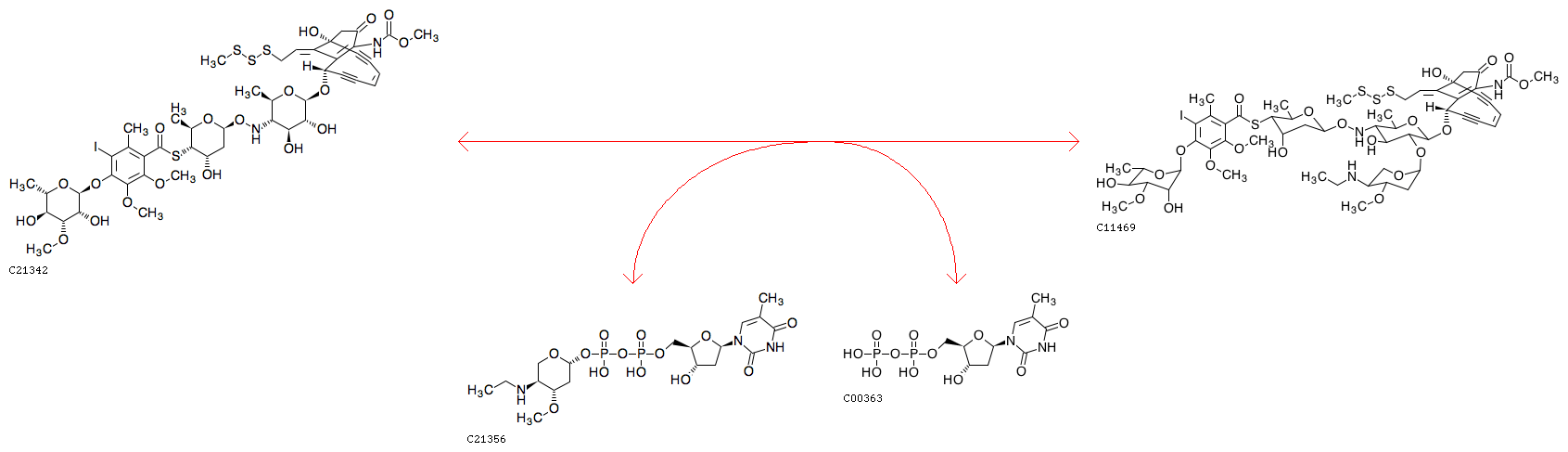
| Name |
dTDP-4-ethylamino-3-O-methyl-2,4-dideoxy-L-threo-pentopyranose:calicheamicin-alpha3(I) 4-ethylamino-3-O-methyl-2,4-dideoxy-L-threo-pentosyltransferase
|
| Definition |
dTDP-4-ethylamino-3-O-methyl-2,4-dideoxy-L-threo-pentopyranose + Calicheamicin alpha3(I) <=> dTDP + Calicheamicin gamma(1)I
|
| Equation |
|
|
 |
| Reaction class |
|
| Enzyme |
2.4.2.-
|
| Pathway |
| rn01059 | Biosynthesis of enediyne antibiotics |
| rn01110 | Biosynthesis of secondary metabolites |
|
| Module |
| M00833 | Calicheamicin biosynthesis, calicheamicinone => calicheamicin |
|
| Brite |
Enzymatic reactions [BR:br08201]
2. Transferase reactions
2.4 Glycosyltransferases
2.4.2 Pentosyltransferases
2.4.2.-
R11421 dTDP-4-ethylamino-3-O-methyl-2,4-dideoxy-L-threo-pentopyranose + Calicheamicin alpha3(I) <=> dTDP + Calicheamicin gamma(1)I
|
| Orthology |
| K21262 | calicheamicin aminopentosyltransferase [EC:2.4.2.-] |
|
| LinkDB |
|