KEGG   REACTION: R11548
Entry
R11548                      Reaction                               
Name
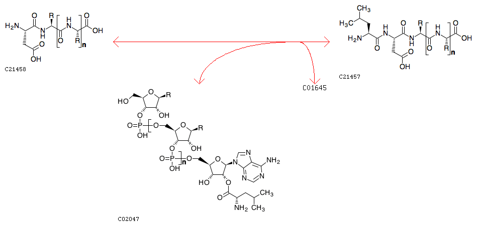
L-leucyl-tRNA(Leu):[protein] N-terminal L-aspartate leucyltransferase
Definition
L-Leucyl-tRNA + L-Aspartyl-protein <=> tRNA(Leu) + L-Leucyl-L-aspartyl-protein
Equation
Reaction class
RC00064  C21457_C21458
Enzyme
Brite
Enzymatic reactions [BR:br08201]
 2. Transferase reactions
  2.3  Acyltransferases
   2.3.2  Aminoacyltransferases
    2.3.2.29
     R11548  L-Leucyl-tRNA + L-Aspartyl-protein <=> tRNA(Leu) + L-Leucyl-L-aspartyl-protein
Orthology
K21420  leucyl-tRNA---protein transferase [EC:2.3.2.29]
LinkDB

DBGET integrated database retrieval system