KEGG   REACTION: R11819
Entry
R11819                      Reaction                               
Name
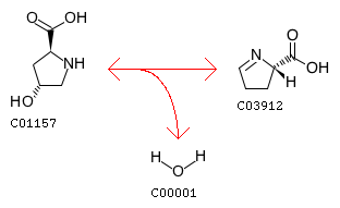
trans-4-hydroxy-L-proline hydro-lyase
Definition
Hydroxyproline <=> (S)-1-Pyrroline-5-carboxylate + H2O
Equation
Reaction class
RC03501  C01157_C03912
Enzyme
Pathway
rn00330  Arginine and proline metabolism
rn01100  Metabolic pathways
Brite
Enzymatic reactions [BR:br08201]
 4. Lyase reactions
  4.2  Carbon-oxygen lyases
   4.2.1  Hydro-lyases
    4.2.1.172
     R11819  Hydroxyproline <=> (S)-1-Pyrroline-5-carboxylate + H2O
Orthology
K23121  trans-4-hydroxy-L-proline dehydratase [EC:4.2.1.172]
Other DBs
RHEA: 54647
LinkDB

DBGET integrated database retrieval system