KEGG   REACTION: R12046
Entry
R12046                      Reaction                               
Name
UDP-L-rhamnose:flavonol-3-O-D-glucoside L-rhamnosyltransferase
Definition
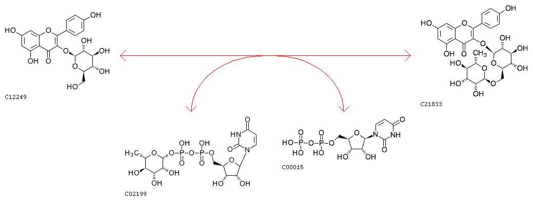
Kaempferol 3-O-glucoside + UDP-L-rhamnose <=> Kaempferol-3-O-rutinoside + UDP
Equation
Reaction class
RC00059  C12249_C21833
Enzyme
Pathway
rn00944  Flavone and flavonol biosynthesis
rn01110  Biosynthesis of secondary metabolites
Brite
Enzymatic reactions [BR:br08201]
 2. Transferase reactions
  2.4  Glycosyltransferases
   2.4.1  Hexosyltransferases
    2.4.1.159
     R12046  Kaempferol 3-O-glucoside + UDP-L-rhamnose <=> Kaempferol-3-O-rutinoside + UDP
IUBMB reaction hierarchy [BR:br08202]
 2. Transferase reactions
  2.4.1.159
   R03880  Flavonol 3-O-beta-D-glucoside <=> Flavonol 3-O-[alpha-L-rhamnosyl-(1->6)-beta-D-glucoside]
    R12046  Kaempferol 3-O-glucoside <=> Kaempferol-3-O-rutinoside
Glycosyltransferase reactions [br08203.html]
 Other reactions
  R12046
Orthology
K22772  flavonol-3-O-glucoside L-rhamnosyltransferase [EC:2.4.1.159]
Reference
1  [PMID:24072327]
  Authors
Rojas Rodas F, Rodriguez TO, Murai Y, Iwashina T, Sugawara S, Suzuki M, Nakabayashi R, Yonekura-Sakakibara K, Saito K, Kitajima J, Toda K, Takahashi R
  Title
Linkage mapping, molecular cloning and functional analysis of soybean gene Fg2 encoding flavonol 3-O-glucoside (1 --> 6) rhamnosyltransferase.
  Journal
Plant Mol Biol 84:287-300 (2014)
DOI:10.1007/s11103-013-0133-1
LinkDB

DBGET integrated database retrieval system