| Entry |
|
| Name |
[LarE]-S-[5-carboxy-1-(5-O-phosphono-beta-D-ribofuranosyl)pyridin-1-ium-3-carbonyl]-L-cysteine pyridin-1-ium-3-carboxylate-5-thiocarboxylate-mononucleotide-lyase (ATP-consuming)
|
| Definition |
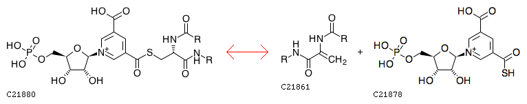
[Protein]-L-cysteine + Pyridinium-3,5-biscarboxylic acid mononucleotide + ATP <=> [Protein]-dehydroalanine + Pyridinium-3-carboxy-5-thiocarboxylic acid mononucleotide + AMP + Diphosphate
|
| Equation |
|
|
 |
| Comment |
|
| Enzyme |
|
| Brite |
Enzymatic reactions [BR:br08201]
4. Lyase reactions
4.4 Carbon-sulfur lyases
4.4.1 Carbon-sulfur lyases (only sub-subclass identified to date)
4.4.1.37
R12062 [Protein]-L-cysteine + Pyridinium-3,5-biscarboxylic acid mononucleotide + ATP <=> [Protein]-dehydroalanine + Pyridinium-3-carboxy-5-thiocarboxylic acid mononucleotide + AMP + Diphosphate
|
| Orthology |
| K06864 | cysteine-dependent pyridinium-3,5-bisthiocarboxylic acid mononucleotide synthase [EC:4.4.1.37 4.4.1.45] |
|
| LinkDB |
|