REACTION: R12406
Help
Entry
R12406 Reaction
Name
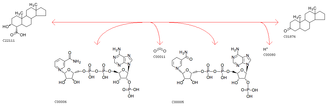
3beta-hydroxysteroid-4alpha-carboxylate:NADP+ 3-oxidoreductase (decarboxylating)
Definition
3beta-Hydroxysteroid-4alpha-carboxylate + NADP+ <=> 3-Oxosteroid + CO2 + NADPH + H+
Equation
C22111
+
C00006
<=>
C01876
+
C00011
+
C00005
+
C00080
Reaction class
RC03536
C01876_C22111
Enzyme
1.1.1.170
Brite
Enzymatic reactions [BR:
br08201
]
1. Oxidoreductase reactions
1.1 Acting on the CH-OH group of donors
1.1.1 With NAD+ or NADP+ as acceptor
1.1.1.170
R12406 3beta-Hydroxysteroid-4alpha-carboxylate + NADP+ <=> 3-Oxosteroid + CO2 + NADPH + H+
IUBMB reaction hierarchy [BR:
br08202
]
1. Oxidoreductase reactions
1.1.1.170
R12406 3beta-Hydroxysteroid-4alpha-carboxylate <=> 3-Oxosteroid
BRITE hierarchy
LinkDB
All DBs
DBGET
integrated database retrieval system