REACTION: R12455
Help
Entry
R12455 Reaction
Definition
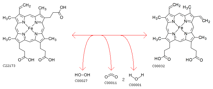
Harderoheme III + Hydrogen peroxide <=> Heme + CO2 + 2 H2O
Equation
C22173
+
C00027
<=>
C00032
+
C00011
+ 2
C00001
Comment
the second step of two-step reaction (see
R11522, R12454+R12455
)
Reaction class
RC03545
C00032_C22173
Enzyme
1.3.98.5
Brite
Enzymatic reactions [BR:
br08201
]
1. Oxidoreductase reactions
1.3 Acting on the CH-CH group of donors
1.3.98 With other, known, physiological acceptors
1.3.98.5
R12455 Harderoheme III + Hydrogen peroxide <=> Heme + CO2 + 2 H2O
BRITE hierarchy
LinkDB
All DBs
DBGET
integrated database retrieval system