KEGG   REACTION: R12520
Entry
R12520                      Reaction                               
Name
(S)-8-oxocitronellyl enol cyclase [(+)-cis,trans-nepetalactol-forming]
Definition
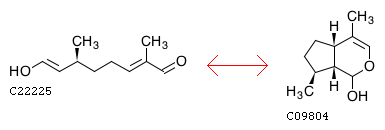
(S)-8-Oxocitronellyl enol <=> cis-trans-Nepetalactol
Equation
Enzyme
Pathway
rn00902  Monoterpenoid biosynthesis
rn01100  Metabolic pathways
rn01110  Biosynthesis of secondary metabolites
Brite
Enzymatic reactions [BR:br08201]
 5. Isomerase reactions
  5.5  Intramolecular lyases
   5.5.1  Intramolecular lyases (only sub-subclass identified to date)
    5.5.1.34
     R12520  (S)-8-Oxocitronellyl enol <=> cis-trans-Nepetalactol
Orthology
K23862  (+)-cis,trans-nepetalactol synthase [EC:5.5.1.34]
K23990  nepetalactol dehydrogenase / (+)-cis,trans-nepetalactol synthase [EC:1.1.1.419 5.5.1.34]
Other DBs
RHEA: 61419
LinkDB

DBGET integrated database retrieval system