REACTION: R12544
Help
Entry
R12544 Reaction
Name
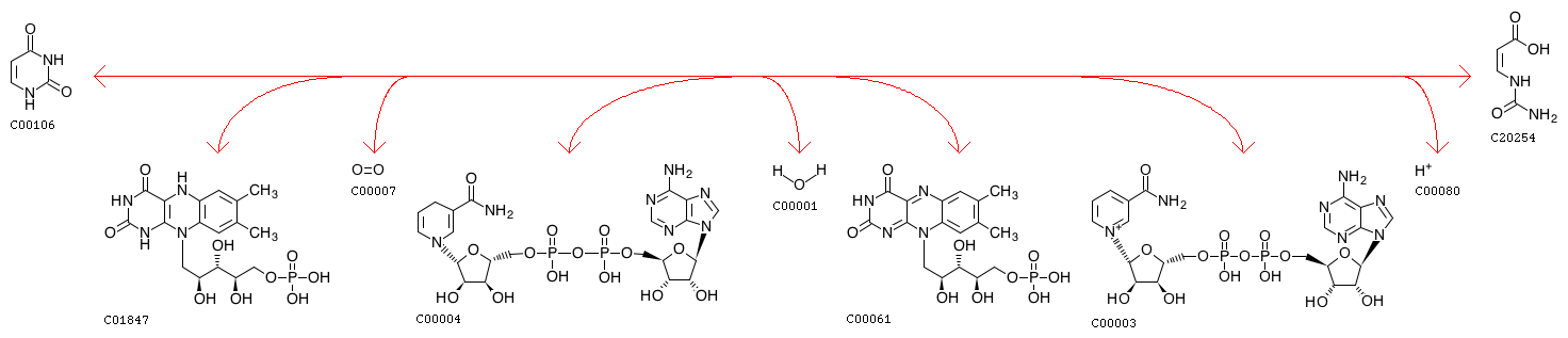
uracil,FMNH2:oxygen oxidoreductase (uracil hydroxylating, ring-opening)
Definition
Uracil + Reduced FMN + Oxygen + NADH <=> Ureidoacrylate + H2O + FMN + NAD+ + H+
Equation
C00106
+
C01847
+
C00007
+
C00004
<=>
C20254
+
C00001
+
C00061
+
C00003
+
C00080
Comment
three-step reaction (see
R12756+R12545+R12539
)
Reaction class
RC03557
C00106_C20254
Enzyme
1.14.99.46
Brite
Enzymatic reactions [BR:
br08201
]
1. Oxidoreductase reactions
1.14 Acting on paired donors, with incorporation or reduction of molecular oxygen
1.14.99 Miscellaneous
1.14.99.46
R12544 Uracil + Reduced FMN + Oxygen + NADH <=> Ureidoacrylate + H2O + FMN + NAD+ + H+
BRITE hierarchy
LinkDB
All DBs
DBGET
integrated database retrieval system