KEGG   REACTION: R12583
Entry
R12583                      Reaction                               
Name
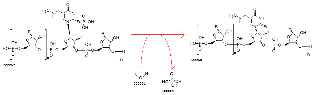
5-methylaminomethyl-2-(Se-phospho)selenouridine34 phosphohydrolase
Definition
5-Methylaminomethyl-2-(Se-phospho)selenouridine in tRNA + H2O <=> 5-Methylaminomethyl-2-selenouridine in tRNA + Orthophosphate
Equation
Enzyme
Brite
Enzymatic reactions [BR:br08201]
 2. Transferase reactions
  2.9  Transferring selenium-containing groups
   2.9.1  Selenotransferases
    2.9.1.3
     R12583  5-Methylaminomethyl-2-(Se-phospho)selenouridine in tRNA + H2O <=> 5-Methylaminomethyl-2-selenouridine in tRNA + Orthophosphate
Other DBs
RHEA: 60179
LinkDB

DBGET integrated database retrieval system