KEGG   REACTION: R12645
Entry
R12645                      Reaction                               
Name
[protein]-L-arginine,2-oxoglutarate:oxygen oxidoreductase (3R-hydroxylating)
Definition
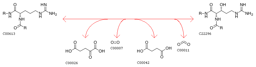
Protein-L-arginine + 2-Oxoglutarate + Oxygen <=> [Protein]-(3R)-3-hydroxy-L-arginine + Succinate + CO2
Equation
Enzyme
Brite
Enzymatic reactions [BR:br08201]
 1. Oxidoreductase reactions
  1.14  Acting on paired donors, with incorporation or reduction of molecular oxygen
   1.14.11  With 2-oxoglutarate as one donor, and incorporation of one atom of oxygen into each donor
    1.14.11.73
     R12645  Protein-L-arginine + 2-Oxoglutarate + Oxygen <=> [Protein]-(3R)-3-hydroxy-L-arginine + Succinate + CO2
LinkDB

DBGET integrated database retrieval system