| Entry |
|
| Definition |
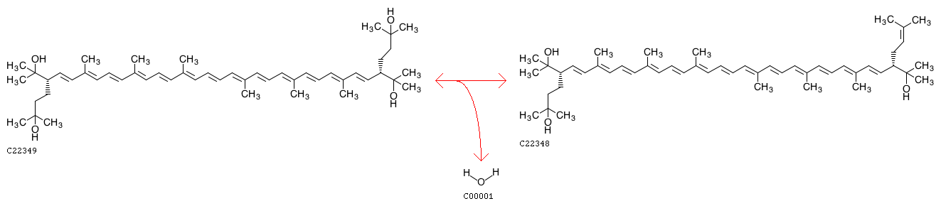
Monoanhydrobacterioruberin <=> Bisanhydrobacterioruberin + H2O
|
| Equation |
|
|
 |
| Comment |
|
| Reaction class |
|
| Enzyme |
|
| Pathway |
| rn01110 | Biosynthesis of secondary metabolites |
|
| Module |
| M01041 | Bacterioruberin biosynthesis, archaea, lycopene => bacterioruberin |
|
| Brite |
Enzymatic reactions [BR:br08201]
4. Lyase reactions
4.2 Carbon-oxygen lyases
4.2.1 Hydro-lyases
4.2.1.161
R12712 Monoanhydrobacterioruberin <=> Bisanhydrobacterioruberin + H2O
|
| Orthology |
|
| LinkDB |
|