KEGG   REACTION: R12907
Entry
R12907                      Reaction                               
Name
L-aspartate,NADPH:oxygen oxidoreductase [(2S)-2-nitrobutanedioate-forming]
Definition
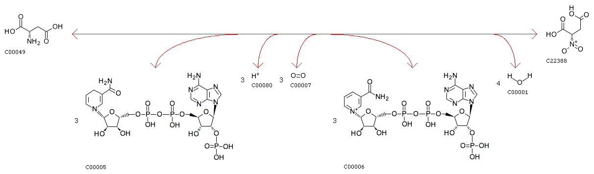
L-Aspartate + 3 NADPH + 3 H+ + 3 Oxygen <=> (2S)-2-Nitrobutanedioate + 3 NADP+ + 4 H2O
Equation
C00049 + 3 C00005 + 3 C00080 + 3 C00007 <=> C22388 + 3 C00006 + 4 C00001
Comment
four-step reaction (see R12908+R12909+R12910+R12911)
Enzyme
Pathway
rn00998  Biosynthesis of various antibiotics
rn01100  Metabolic pathways
rn01110  Biosynthesis of secondary metabolites
Module
M00951  Cremeomycin biosynthesis, aspartate/3,4-AHBA => cremeomycin
Brite
Enzymatic reactions [BR:br08201]
 1. Oxidoreductase reactions
  1.14  Acting on paired donors, with incorporation or reduction of molecular oxygen
   1.14.13  With NADH or NADPH as one donor, and incorporation of one atom of oxygen into the other donor
    1.14.13.248
     R12907  L-Aspartate + 3 NADPH + 3 H+ + 3 Oxygen <=> (2S)-2-Nitrobutanedioate + 3 NADP+ + 4 H2O
Orthology
K25562  L-aspartate N-monooxygenase (nitrosuccinate-forming) [EC:1.14.13.248]
Other DBs
RHEA: 69011
LinkDB

DBGET integrated database retrieval system