| Entry |
|
| Name |
(2E,6E)-farnesyl-diphosphate diphosphate-lyase [(+)-exo-beta-bergamotene-forming]
|
| Definition |
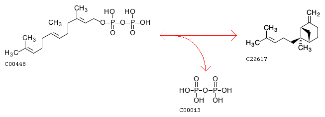
trans,trans-Farnesyl diphosphate <=> (+)-exo-beta-Bergamotene + Diphosphate
|
| Equation |
|
|
 |
| Enzyme |
|
| Pathway |
| rn00998 | Biosynthesis of various antibiotics |
| rn01110 | Biosynthesis of secondary metabolites |
|
| Module |
| M00969 | Fumagillin biosynthesis, farnesyl-PP => fumagillin |
|
| Brite |
Enzymatic reactions [BR:br08201]
4. Lyase reactions
4.2 Carbon-oxygen lyases
4.2.3 Acting on phosphates
4.2.3.211
R13104 trans,trans-Farnesyl diphosphate <=> (+)-exo-beta-Bergamotene + Diphosphate
|
| Orthology |
|
| Other DBs |
|
| LinkDB |
|