| Entry |  | 
|---|
| Name | ultra-long-chain-di-unsaturated-acyl-[acyl-carrier protein]:malonyl-[acyl-carrier protein] C-acyltransferase (decarboxylating)
 | 
|---|
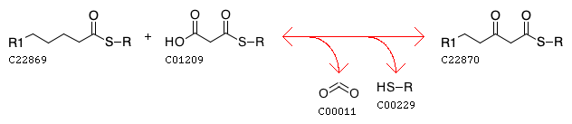
| Definition | Ultra-long-chain di-unsaturated acyl-[acyl-carrier protein] + Malonyl-[acyl-carrier protein] <=> Ultra-long-chain di-unsaturated 3-oxo-fatty acyl-[acyl-carrier protein] + CO2 + Acyl-carrier protein
 | 
|---|
| Equation |  | 
|---|
|  |  | 
|---|
| Reaction class |  | 
|---|
| Enzyme |  | 
|---|
| Pathway | | rn01110 | Biosynthesis of secondary metabolites | 
 | 
|---|
| Module | | M00886 | Meromycolic acid biosynthesis, initiation and elongation FAS II (KasA and KasB) | 
 | 
|---|
| Brite | Enzymatic reactions [BR:br08201]2. Transferase reactions
 2.3  Acyltransferases
 2.3.1  Transferring groups other than aminoacyl groups
 2.3.1.294
 R13270  Ultra-long-chain di-unsaturated acyl-[acyl-carrier protein] + Malonyl-[acyl-carrier protein] <=> Ultra-long-chain di-unsaturated 3-oxo-fatty acyl-[acyl-carrier protein] + CO2 + Acyl-carrier protein
 
 | 
|---|
| Orthology | | K27070 | meromycolic acid 3-oxoacyl-[acyl-carrier protein] synthase II [EC:2.3.1.294] | 
 | 
|---|
| LinkDB |  | 
|---|