REACTION: R13580
Help
Entry
R13580 Reaction
Definition
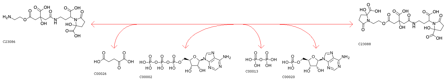
alpha-Ketoglutaryl-diaminobutyryl-citryl-ethanolamine + 2-Oxoglutarate + ATP <=> Achromobactin + Diphosphate + AMP
Equation
C23086
+
C00026
+
C00002
<=>
C23088
+
C00013
+
C00020
LinkDB
All DBs
DBGET
integrated database retrieval system