REACTION: R13582
Help
Entry
R13582 Reaction
Definition
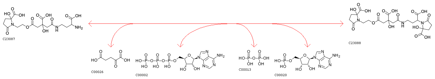
Diaminobutyryl-citryl-ethanolamino-alpha-ketoglutarate + 2-Oxoglutarate + ATP <=> Achromobactin + Diphosphate + AMP
Equation
C23087
+
C00026
+
C00002
<=>
C23088
+
C00013
+
C00020
LinkDB
All DBs
DBGET
integrated database retrieval system