KEGG   REACTION: R13623
Entry
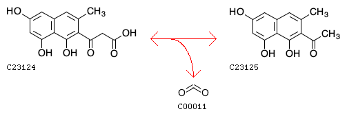
R13623                      Reaction                               
Definition
6-Hydroxymusizin carboxylate <=> 6-Hydroxymusizin + CO2
Equation
Comment
spontaneous
the second step of two-step reaction (see R13624, R13622+R13623)
Enzyme
Brite
Enzymatic reactions [BR:br08201]
 3. Hydrolase reactions
  3.1  Acting on ester bonds
   3.1.2  Thioester hydrolases
    3.1.2.35
     R13623  6-Hydroxymusizin carboxylate <=> 6-Hydroxymusizin + CO2
LinkDB

DBGET integrated database retrieval system