| Entry |
|
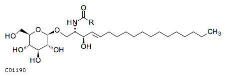
| Name |
Glucosylceramide;
Glucocerebroside;
beta-D-Glucosyl-(1<->1)-ceramide;
D-Glucosyl-N-acylsphingosine;
beta-D-Glucosyl-N-acylsphingosine
|
| Formula |
C25H46NO8R
|
| Structure |

|
| Remark |
|
| Comment |
Generic compound in reaction hierarchy
|
| Reaction |
|
| Pathway |
|
| Module |
| M00066 | Lactosylceramide biosynthesis |
|
| Network |
|
| Enzyme |
|
| Brite |
Compounds with biological roles [BR:br08001]
Lipids
Glycolipids
Glycosphingolipids
C01190 Glucosylceramide
Lipids [BR:br08002]
SP Sphingolipids
SP05 Neutral glycosphingolipids
SP0501 Simple Glc series
G10238 Glc-beta1->1'Cer (GlcCer)
|
| Other DBs |
|
| LinkDB |
|
| KCF data |
ATOM 35
1 C1y C 16.5855 -15.9212
2 O2x O 15.3494 -15.1982
3 O2a O 18.0236 -15.2681
4 C1y C 16.5779 -17.3514
5 C1y C 14.1212 -15.9212
6 C1b C 19.3141 -16.1854
7 C1y C 15.3494 -18.0745
8 O1a O 17.8293 -18.0823
9 C1y C 14.1135 -17.3514
10 C1b C 12.8929 -15.1982
11 C1c C 20.4880 -15.5014
12 O1a O 15.3417 -19.5049
13 O1a O 12.8929 -18.0745
14 O1a O 11.7968 -16.1311
15 C1c C 21.6774 -16.1854
16 N1b N 20.4880 -14.1332
17 C2b C 22.8748 -15.5014
18 O1a O 21.6774 -17.5537
19 C5a C 21.6698 -13.4569
20 C2b C 24.0563 -16.1854
21 O5a O 21.6698 -12.0886
22 R R 22.8513 -14.1332
23 C1b C 25.2379 -15.5014
24 C1b C 26.4118 -16.1854
25 C1b C 27.6168 -15.5014
26 C1b C 28.7986 -16.1854
27 C1b C 29.9878 -15.5014
28 C1b C 31.1696 -16.1854
29 C1b C 32.3667 -15.5014
30 C1b C 33.5406 -16.1854
31 C1b C 34.7222 -15.5014
32 C1b C 35.9272 -16.1854
33 C1b C 37.1011 -15.5014
34 C1b C 38.2982 -16.1854
35 C1a C 39.4721 -15.5014
BOND 35
1 1 2 1
2 1 3 1 #Up
3 1 4 1
4 2 5 1
5 3 6 1
6 4 7 1
7 4 8 1 #Down
8 5 9 1
9 5 10 1 #Up
10 6 11 1
11 7 12 1 #Up
12 9 13 1 #Down
13 10 14 1
14 11 15 1
15 11 16 1 #Down
16 15 17 1
17 15 18 1 #Up
18 16 19 1
19 17 20 2
20 19 21 2
21 19 22 1
22 20 23 1
23 23 24 1
24 24 25 1
25 25 26 1
26 26 27 1
27 27 28 1
28 28 29 1
29 29 30 1
30 30 31 1
31 31 32 1
32 32 33 1
33 33 34 1
34 34 35 1
35 7 9 1
|