REACTION: R02123
Help
Entry
R02123 Reaction
Name
retinal:NAD+ oxidoreductase
Definition
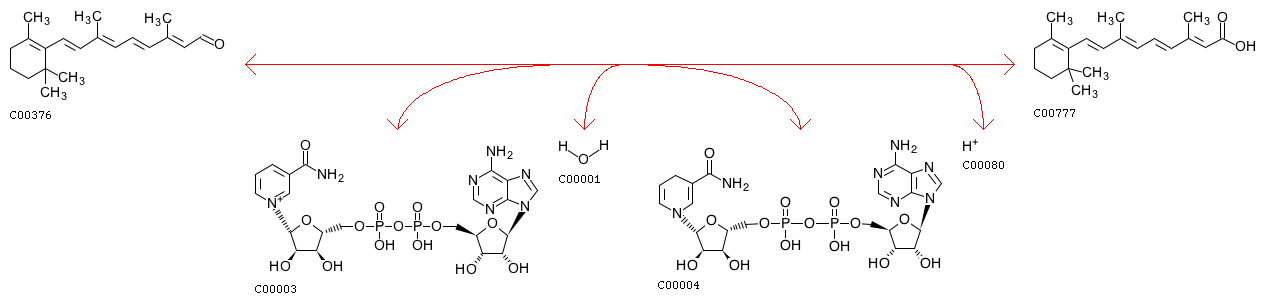
Retinal + NAD+ + H2O <=> Retinoate + NADH + H+
Equation
C00376
+
C00003
+
C00001
<=>
C00777
+
C00004
+
C00080
Reaction class
RC00001
C00003_C00004
RC00218
C00376_C00777
Enzyme
1.2.1.36
Pathway
rn00830
Retinol metabolism
rn01100
Metabolic pathways
Brite
Enzymatic reactions [BR:
br08201
]
1. Oxidoreductase reactions
1.2 Acting on the aldehyde or oxo group of donors
1.2.1 With NAD+ or NADP+ as acceptor
1.2.1.36
R02123 Retinal + NAD+ + H2O <=> Retinoate + NADH + H+
BRITE hierarchy
Orthology
K07249
retinal dehydrogenase [EC:
1.2.1.36
]
Other DBs
RHEA:
42083
LinkDB
All DBs
DBGET
integrated database retrieval system