KEGG   REACTION: R04073
Entry
R04073                      Reaction                               
Name
peptide-L-aspartate,2-oxoglutarate:oxygen oxidoreductase (3-hydroxylating)
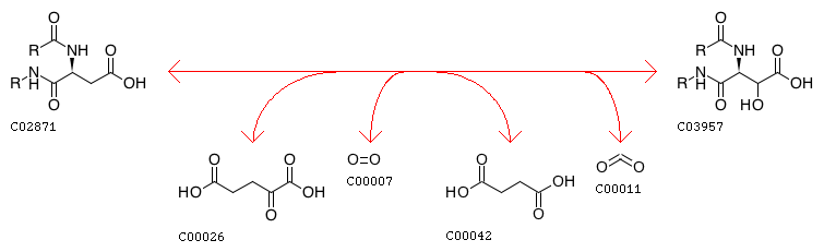
Definition
Peptide L-aspartate + 2-Oxoglutarate + Oxygen <=> Peptide 3-hydroxy-L-aspartate + Succinate + CO2
Equation
Reaction class
RC01068  C02871_C03957
Enzyme
Brite
Enzymatic reactions [BR:br08201]
 1. Oxidoreductase reactions
  1.14  Acting on paired donors, with incorporation or reduction of molecular oxygen
   1.14.11  With 2-oxoglutarate as one donor, and incorporation of one atom of oxygen into each donor
    1.14.11.16
     R04073  Peptide L-aspartate + 2-Oxoglutarate + Oxygen <=> Peptide 3-hydroxy-L-aspartate + Succinate + CO2
Other DBs
RHEA: 11511
LinkDB

DBGET integrated database retrieval system