| Entry |
|
| Name |
(2S)-flavan-4-ol:NADP+ 4-oxidoreductase;
cis-3,4-leucopelargonidin:NADP+ 4-oxidoreductase
|
| Definition |
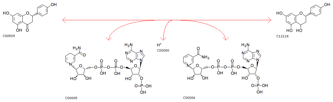
Naringenin + NADPH + H+ <=> Apiforol + NADP+
|
| Equation |
|
|
 |
| Comment |
flavanone 4-reductase
dihydroflavonol 4-reductase
|
| Reaction class |
|
| Enzyme |
|
| Pathway |
|
| Brite |
Enzymatic reactions [BR:br08201]
1. Oxidoreductase reactions
1.1 Acting on the CH-OH group of donors
1.1.1 With NAD+ or NADP+ as acceptor
1.1.1.234
R06610 Naringenin + NADPH + H+ <=> Apiforol + NADP+
IUBMB reaction hierarchy [BR:br08202]
1. Oxidoreductase reactions
1.1.1.234
R03827 (2S)-Flavan-4-ol <=> (2S)-Flavanone
R06610 Apiforol <=> Naringenin
|
| Orthology |
|
| LinkDB |
|