KEGG   REACTION: R06635
Entry
R06635                      Reaction                               
Definition
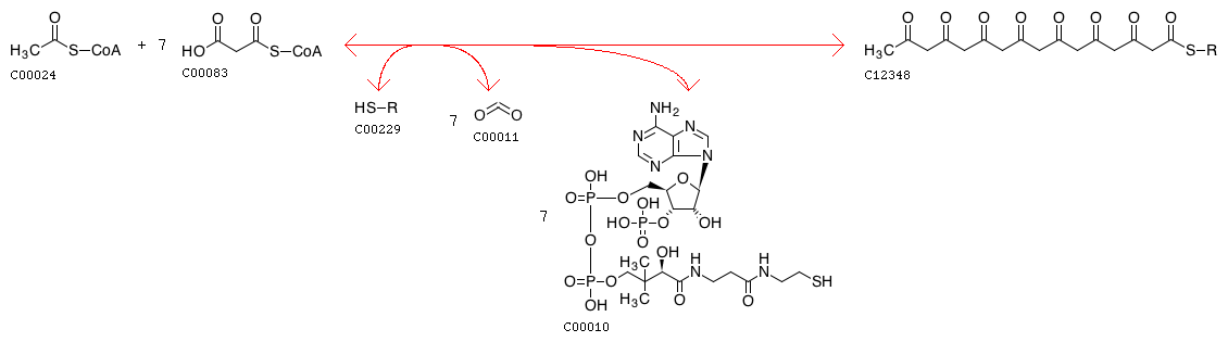
Acetyl-CoA + 7 Malonyl-CoA + Acyl-carrier protein <=> 3,5,7,9,11,13,15-Heptaoxo-hexadecanoyl-[acp] + 7 CO2 + 7 CoA
Equation
C00024 + 7 C00083 + C00229 <=> C12348 + 7 C00011 + 7 C00010
Reaction class
RC00004  C00010_C00024  C00010_C00083
RC02729  C00024_C12348
RC02931  C00083_C12348
RC02932  C00083_C12348
Enzyme
2.3.1.-
Pathway
rn01056  Biosynthesis of type II polyketide backbone
Brite
Enzymatic reactions [BR:br08201]
 2. Transferase reactions
  2.3  Acyltransferases
   2.3.1  Transferring groups other than aminoacyl groups
    2.3.1.-
     R06635  Acetyl-CoA + 7 Malonyl-CoA + Acyl-carrier protein <=> 3,5,7,9,11,13,15-Heptaoxo-hexadecanoyl-[acp] + 7 CO2 + 7 CoA
Orthology
K05551  minimal PKS ketosynthase (KS/KS alpha) [EC:2.3.1.- 2.3.1.260 2.3.1.235]
K05552  minimal PKS chain-length factor (CLF/KS beta) [EC:2.3.1.- 2.3.1.260 2.3.1.235]
K05553  minimal PKS acyl carrier protein
LinkDB

DBGET integrated database retrieval system