KEGG   REACTION: R08267
Entry
R08267                      Reaction                               
Definition
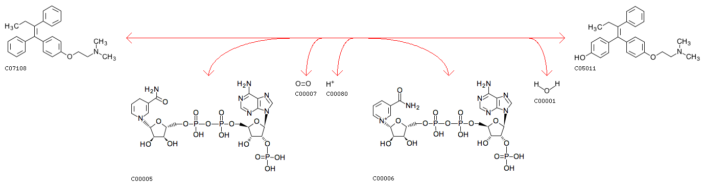
Tamoxifen + NADPH + Oxygen + H+ <=> Hydroxytamoxifen + NADP+ + H2O
Equation
Comment
CYP2D6, CYP2C9
Reaction class
RC00001  C00005_C00006
RC00490  C05011_C07108
Enzyme
1.14.14.1       1.14.14.-
Pathway
rn00982  Drug metabolism - cytochrome P450
Brite
Enzymatic reactions [BR:br08201]
 1. Oxidoreductase reactions
  1.14  Acting on paired donors, with incorporation or reduction of molecular oxygen
   1.14.14  With reduced flavin or flavoprotein as one donor, and incorporation of one atom of oxygen into the other donor
    1.14.14.1
     R08267  Tamoxifen + NADPH + Oxygen + H+ <=> Hydroxytamoxifen + NADP+ + H2O
    1.14.14.-
     R08267  Tamoxifen + NADPH + Oxygen + H+ <=> Hydroxytamoxifen + NADP+ + H2O
Orthology
K17712  cytochrome P450 family 2 subfamily D6 [EC:1.14.14.1]
K17719  cytochrome P450 family 2 subfamily C9 [EC:1.14.14.51 1.14.14.52 1.14.14.53 1.14.14.-]
LinkDB

DBGET integrated database retrieval system