KEGG   REACTION: R08764
Entry
R08764                      Reaction                               
Name
6-hydroxynicotinate,NADH:oxygen oxidoreductase (3-hydroxylating, decarboxylating)
Definition
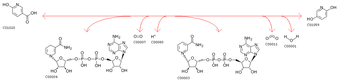
6-Hydroxynicotinate + NADH + Oxygen + H+ <=> 2,5-Dihydroxypyridine + NAD+ + CO2 + H2O
Equation
Reaction class
RC00001  C00003_C00004
RC00115  C01020_C01059
Enzyme
Pathway
rn00760  Nicotinate and nicotinamide metabolism
rn01100  Metabolic pathways
rn01120  Microbial metabolism in diverse environments
Module
M00622  Nicotinate degradation, nicotinate => fumarate
Brite
Enzymatic reactions [BR:br08201]
 1. Oxidoreductase reactions
  1.14  Acting on paired donors, with incorporation or reduction of molecular oxygen
   1.14.13  With NADH or NADPH as one donor, and incorporation of one atom of oxygen into the other donor
    1.14.13.114
     R08764  6-Hydroxynicotinate + NADH + Oxygen + H+ <=> 2,5-Dihydroxypyridine + NAD+ + CO2 + H2O
Orthology
K14974  6-hydroxynicotinate 3-monooxygenase [EC:1.14.13.114]
Reference
1  [PMID:10091591]
  Authors
Nakano H, Wieser M, Hurh B, Kawai T, Yoshida T, Yamane T, Nagasawa T
  Title
Purification, characterization and gene cloning of 6-hydroxynicotinate 3-monooxygenase from Pseudomonas fluorescens TN5.
  Journal
Eur J Biochem 260:120-6 (1999)
DOI:10.1046/j.1432-1327.1999.00124.x
Other DBs
RHEA: 27336
LinkDB

DBGET integrated database retrieval system