| Entry |
|
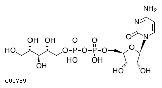
| Name |
CDP-ribitol;
CDP-L-ribitol;
CDP 5-ester with D-ribitol
|
| Formula |
C14H25N3O15P2
|
| Exact mass |
537.0761
|
| Mol weight |
537.31
|
| Structure |

|
| Reaction |
|
| Pathway |
| map00040 | Pentose and glucuronate interconversions |
| map00515 | Mannose type O-glycan biosynthesis |
|
| Module |
| M00872 | O-glycan biosynthesis, mannose type (core M3) |
|
| Network |
|
| Enzyme |
|
| Other DBs |
|
| LinkDB |
|
| KCF data |
ATOM 34
1 C1y C 35.2718 -20.5086
2 N4y N 36.1334 -18.2293
3 O2x O 34.1539 -19.6968
4 C1y C 34.8658 -21.7823
5 C8y C 34.8771 -17.5423
6 C8x C 37.3263 -17.5673
7 C1y C 33.0548 -20.4897
8 C1y C 33.4858 -21.7823
9 O1a O 35.6652 -22.8753
10 N5x N 34.8837 -16.1811
11 O5x O 33.7731 -18.2167
12 C8x C 37.3263 -16.1874
13 C1b C 31.7623 -20.0901
14 O1a O 32.7052 -22.8878
15 C8y C 36.1397 -15.4941
16 O2b O 30.4010 -20.0901
17 N1a N 36.1397 -14.2782
18 P1b P 29.0459 -20.0901
19 O2c O 27.6846 -20.0901
20 O1c O 29.0459 -21.4452
21 O1c O 29.0459 -18.6593
22 P1b P 26.3171 -20.0901
23 O2b O 24.9684 -20.0901
24 O1c O 26.3109 -21.4452
25 O1c O 26.3171 -18.6593
26 C1b C 23.7686 -20.7827
27 C1c C 22.5690 -20.0901
28 C1c C 21.3692 -20.7827
29 C1c C 20.1695 -20.0901
30 C1b C 18.9699 -20.7827
31 O1a O 17.7701 -20.0901
32 O1a O 22.5690 -18.7048
33 O1a O 20.1695 -18.7048
34 O1a O 21.3692 -22.1680
BOND 35
1 1 2 1 #Up
2 1 3 1
3 1 4 1
4 2 5 1
5 2 6 1
6 3 7 1
7 4 8 1
8 4 9 1 #Down
9 5 10 1
10 5 11 2
11 6 12 2
12 7 13 1 #Up
13 8 14 1 #Down
14 10 15 2
15 13 16 1
16 15 17 1
17 16 18 1
18 18 19 1
19 18 20 1
20 18 21 2
21 19 22 1
22 22 23 1
23 22 24 1
24 22 25 2
25 7 8 1
26 12 15 1
27 23 26 1
28 26 27 1
29 27 28 1
30 28 29 1
31 29 30 1
32 30 31 1
33 27 32 1 #Down
34 29 33 1 #Down
35 28 34 1 #Up
|