| Entry |
|
| Name |
5-hydroxyindoleacetaldehyde:NAD+ oxidoreductase
|
| Definition |
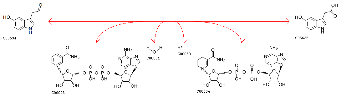
5-Hydroxyindoleacetaldehyde + NAD+ + H2O <=> 5-Hydroxyindoleacetate + H+ + NADH
|
| Equation |
|
|
 |
| Reaction class |
|
| Enzyme |
|
| Pathway |
|
| Brite |
Enzymatic reactions [BR:br08201]
1. Oxidoreductase reactions
1.2 Acting on the aldehyde or oxo group of donors
1.2.1 With NAD+ or NADP+ as acceptor
1.2.1.3
R04903 5-Hydroxyindoleacetaldehyde + NAD+ + H2O <=> 5-Hydroxyindoleacetate + H+ + NADH
IUBMB reaction hierarchy [BR:br08202]
1. Oxidoreductase reactions
1.2.1.3
R00538 Aldehyde <=> Carboxylate
R04903 5-Hydroxyindoleacetaldehyde <=> 5-Hydroxyindoleacetate
|
| Orthology |
|
| Other DBs |
|
| LinkDB |
|