KEGG   REACTION: R06471
Entry
R06471                      Reaction                               
Name
(3S)-2,3-epoxy-2,3-dihydrosqualene mutase (cyclizing, alpha-amyrin-forming)
Definition
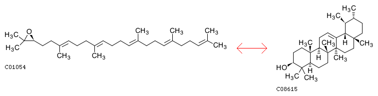
(S)-2,3-Epoxysqualene <=> alpha-Amyrin
Equation
Reaction class
RC01862  C01054_C08615
Enzyme
Pathway
rn00909  Sesquiterpenoid and triterpenoid biosynthesis
Brite
Enzymatic reactions [BR:br08201]
 5. Isomerase reactions
  5.4  Intramolecular transferases
   5.4.99  Transferring other groups
    5.4.99.40
     R06471  (S)-2,3-Epoxysqualene <=> alpha-Amyrin
Orthology
K15815  lupeol synthase 2 [EC:5.4.99.39 5.4.99.40 5.4.99.41]
K20658  alpha/beta-amyrin synthase [EC:5.4.99.40 5.4.99.39]
K21928  delta/alpha/beta-amyrin synthase [EC:5.4.99.55 5.4.99.40 5.4.99.39]
LinkDB

DBGET integrated database retrieval system