KEGG   REACTION: R06831
Entry
R06831                      Reaction                               
Name
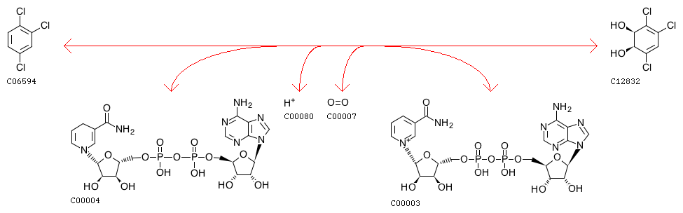
1,2,4-trichlorobenzene,NADH:oxygen oxidoreductase (1,2-hydroxylating)
Definition
1,2,4-Trichlorobenzene + NADH + H+ + Oxygen <=> 3,4,6-Trichloro-cis-1,2-dihydroxycyclohexa-3,5-diene + NAD+
Equation
Comment
chlorobenzene dioxygenase, tcbA
Reaction class
RC00001  C00003_C00004
RC00267  C06594_C12832
Enzyme
Pathway
rn00361  Chlorocyclohexane and chlorobenzene degradation
rn01100  Metabolic pathways
rn01120  Microbial metabolism in diverse environments
rn01220  Degradation of aromatic compounds
Brite
Enzymatic reactions [BR:br08201]
 1. Oxidoreductase reactions
  1.14  Acting on paired donors, with incorporation or reduction of molecular oxygen
   1.14.12  With NADH or NADPH as one donor, and incorporation of two atoms of oxygen into the other donor
    1.14.12.26
     R06831  1,2,4-Trichlorobenzene + NADH + H+ + Oxygen <=> 3,4,6-Trichloro-cis-1,2-dihydroxycyclohexa-3,5-diene + NAD+
Orthology
K03268  benzene/toluene/chlorobenzene dioxygenase subunit alpha [EC:1.14.12.3 1.14.12.11 1.14.12.26]
K16268  benzene/toluene/chlorobenzene dioxygenase subunit beta [EC:1.14.12.3 1.14.12.11 1.14.12.26]
K18089  benzene/toluene/chlorobenzene dioxygenase ferredoxin component
K18090  benzene/toluene/chlorobenzene dioxygenase ferredoxin reductase component [EC:1.18.1.3 1.18.1.-]
LinkDB

DBGET integrated database retrieval system