KEGG   REACTION: R08326
Entry
R08326                      Reaction                               
Definition
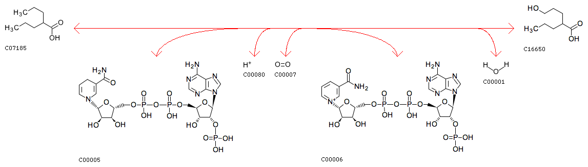
Valproic acid + NADPH + H+ + Oxygen <=> 5-Hydroxyvalproic acid + NADP+ + H2O
Equation
Comment
CYP2C9, CYP2A6, CTP2B6
Reaction class
RC00001  C00005_C00006
RC00797  C07185_C16650
Enzyme
1.14.14.-
Pathway
rn00982  Drug metabolism - cytochrome P450
Brite
Enzymatic reactions [BR:br08201]
 1. Oxidoreductase reactions
  1.14  Acting on paired donors, with incorporation or reduction of molecular oxygen
   1.14.14  With reduced flavin or flavoprotein as one donor, and incorporation of one atom of oxygen into the other donor
    1.14.14.-
     R08326  Valproic acid + NADPH + H+ + Oxygen <=> 5-Hydroxyvalproic acid + NADP+ + H2O
Orthology
K17683  cytochrome P450 family 2 subfamily A6 [EC:1.14.14.-]
K17709  cytochrome P450 family 2 subfamily B6 [EC:1.14.14.-]
K17719  cytochrome P450 family 2 subfamily C9 [EC:1.14.14.51 1.14.14.52 1.14.14.53 1.14.14.-]
LinkDB

DBGET integrated database retrieval system