KEGG   REACTION: R08692
Entry
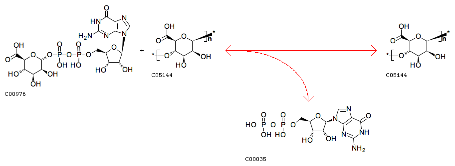
R08692                      Reaction                               
Name
GDP-D-mannuronate:poly(beta-D-mannuronate) beta-D-mannuronyltransferase
Definition
GDP-D-mannuronate + (beta-D-Mannuronate)n <=> (beta-D-Mannuronate)n + GDP
Equation
Reaction class
RC00005  C00035_C00976
Enzyme
Pathway
rn00051  Fructose and mannose metabolism
rn01100  Metabolic pathways
Brite
Enzymatic reactions [BR:br08201]
 2. Transferase reactions
  2.4  Glycosyltransferases
   2.4.1  Hexosyltransferases
    2.4.1.33
     R08692  GDP-D-mannuronate + (beta-D-Mannuronate)n <=> (beta-D-Mannuronate)n + GDP
Orthology
K19290  mannuronan synthase [EC:2.4.1.33]
K19291  mannuronan synthase [EC:2.4.1.33]
Other DBs
RHEA: 46879
LinkDB

KEGG   REACTION: R08693
Entry
R08693                      Reaction                               
Name
poly(beta-D-mannuronate) C5-epimerase
Definition
(beta-D-Mannuronate)n <=> (Alginate)n
Equation
Reaction class
RC00509  C01768_C05144
Enzyme
Pathway
rn00051  Fructose and mannose metabolism
rn01100  Metabolic pathways
Brite
Enzymatic reactions [BR:br08201]
 5. Isomerase reactions
  5.1  Racemases and epimerases
   5.1.3  Acting on carbohydrates and derivatives
    5.1.3.37
     R08693  (beta-D-Mannuronate)n <=> (Alginate)n
Orthology
K01795  mannuronan 5-epimerase [EC:5.1.3.37]
Other DBs
RHEA: 45575
LinkDB

DBGET integrated database retrieval system