| Entry |
|
| Name |
dihydrotestosterone:NADP+ 17-oxidoreductase
|
| Definition |
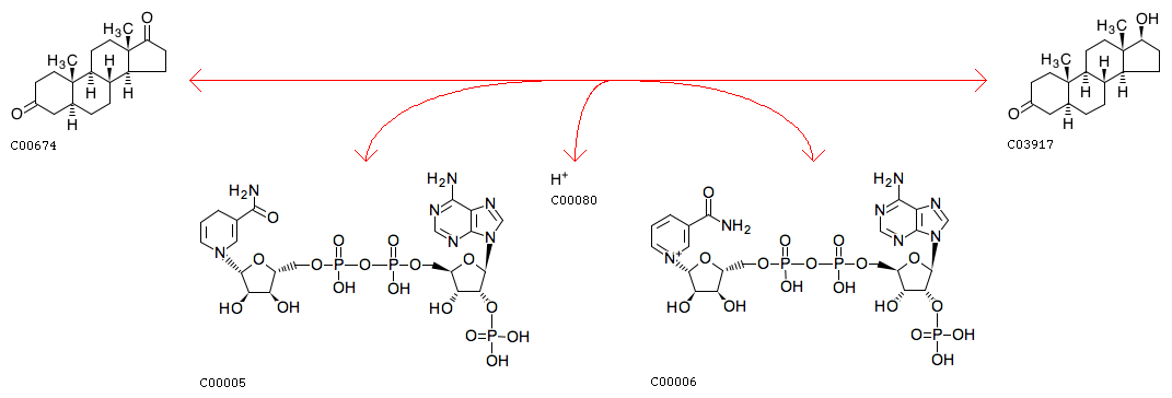
5alpha-Androstane-3,17-dione + NADPH + H+ <=> Dihydrotestosterone + NADP+
|
| Equation |
|
|
 |
| Reaction class |
|
| Enzyme |
|
| Pathway |
| rn00140 | Steroid hormone biosynthesis |
|
| Brite |
Enzymatic reactions [BR:br08201]
1. Oxidoreductase reactions
1.1 Acting on the CH-OH group of donors
1.1.1 With NAD+ or NADP+ as acceptor
1.1.1.51
R13220 5alpha-Androstane-3,17-dione + NADPH + H+ <=> Dihydrotestosterone + NADP+
1.1.1.64
R13220 5alpha-Androstane-3,17-dione + NADPH + H+ <=> Dihydrotestosterone + NADP+
|
| Orthology |
|
| LinkDB |
|