KEGG   REACTION: R13329
Entry
R13329                      Reaction                               
Definition
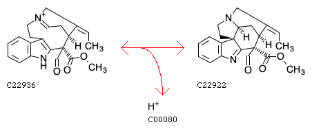
3,17-Didehydrostemmadenine <=> 17-Dehydropreakuammicine + H+
Equation
Comment
spontaneous
the second step of four-step reaction (see R13381, R13342+R13329+R13382+R13331)
Reaction class
RC03593  C22922_C22936
Enzyme
Pathway
rn00901  Indole alkaloid biosynthesis
rn01100  Metabolic pathways
rn01110  Biosynthesis of secondary metabolites
Module
M00980  Strychnine biosynthesis, geissoschizine => strychnine
Brite
Enzymatic reactions [BR:br08201]
 1. Oxidoreductase reactions
  1.14  Acting on paired donors, with incorporation or reduction of molecular oxygen
   1.14.19  With oxidation of a pair of donors resulting in the reduction of O2 to two molecules of water
    1.14.19.80
     R13329  3,17-Didehydrostemmadenine <=> 17-Dehydropreakuammicine + H+
Orthology
K27780  (19E)-geissoschizine oxidase [EC:1.14.19.80]
Reference
1  [PMID:35794473]
  Authors
Hong B, Grzech D, Caputi L, Sonawane P, Lopez CER, Kamileen MO, Hernandez Lozada NJ, Grabe V, O'Connor SE
  Title
Biosynthesis of strychnine.
  Journal
Nature 607:617-622 (2022)
DOI:10.1038/s41586-022-04950-4
LinkDB

DBGET integrated database retrieval system