KEGG   REACTION: R13381
Entry
R13381                      Reaction                               
Name
(19E)-geissoschizine,[reduced NADPH-hemoprotein reductase]:oxygen oxidoreductase (akuammicine-forming)
Definition
(19E)-Geissoschizine + Oxygen + [Reduced NADPH---hemoprotein reductase] <=> Akuammicine + Formate + [Oxidized NADPH---hemoprotein reductase] + H2O
Equation
Comment
four-step reaction (see R13342+R13329+R13382+R13331)
Enzyme
Brite
Enzymatic reactions [BR:br08201]
 1. Oxidoreductase reactions
  1.14  Acting on paired donors, with incorporation or reduction of molecular oxygen
   1.14.19  With oxidation of a pair of donors resulting in the reduction of O2 to two molecules of water
    1.14.19.80
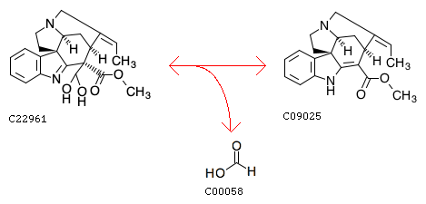
     R13381  (19E)-Geissoschizine + Oxygen + [Reduced NADPH---hemoprotein reductase] <=> Akuammicine + Formate + [Oxidized NADPH---hemoprotein reductase] + H2O
LinkDB

KEGG   REACTION: R13342
Entry
R13342                      Reaction                               
Definition
(19E)-Geissoschizine + Oxygen + [Reduced NADPH---hemoprotein reductase] + H+ <=> 3,17-Didehydrostemmadenine + [Oxidized NADPH---hemoprotein reductase] + 2 H2O
Equation
Comment
the first step of four-step reaction (see R13381, R13342+R13329+R13382+R13331)
Enzyme
Pathway
rn00901  Indole alkaloid biosynthesis
rn01100  Metabolic pathways
rn01110  Biosynthesis of secondary metabolites
Module
M00965  Vinblastine biosynthesis, geissoschizine => vinblastine
M00980  Strychnine biosynthesis, geissoschizine => strychnine
Brite
Enzymatic reactions [BR:br08201]
 1. Oxidoreductase reactions
  1.14  Acting on paired donors, with incorporation or reduction of molecular oxygen
   1.14.19  With oxidation of a pair of donors resulting in the reduction of O2 to two molecules of water
    1.14.19.80
     R13342  (19E)-Geissoschizine + Oxygen + [Reduced NADPH---hemoprotein reductase] + H+ <=> 3,17-Didehydrostemmadenine + [Oxidized NADPH---hemoprotein reductase] + 2 H2O
Orthology
K27780  (19E)-geissoschizine oxidase [EC:1.14.19.80]
Reference
1  [PMID:29511102]
  Authors
Qu Y, Easson MEAM, Simionescu R, Hajicek J, Thamm AMK, Salim V, De Luca V
  Title
Solution of the multistep pathway for assembly of corynanthean, strychnos, iboga, and aspidosperma monoterpenoid indole alkaloids from 19E-geissoschizine.
  Journal
Proc Natl Acad Sci U S A 115:3180-3185 (2018)
DOI:10.1073/pnas.1719979115
Reference
2  [PMID:37626942]
  Authors
Salim V, Jarecki SA, Vick M, Miller R.
  Title
Advances in Metabolic Engineering of Plant Monoterpene Indole Alkaloids.
  Journal
Biology (Basel) 12:1056 (2023)
DOI:10.3390/biology12081056
LinkDB

KEGG   REACTION: R13329
Entry
R13329                      Reaction                               
Definition
3,17-Didehydrostemmadenine <=> 17-Dehydropreakuammicine + H+
Equation
Comment
spontaneous
the second step of four-step reaction (see R13381, R13342+R13329+R13382+R13331)
Reaction class
RC03593  C22922_C22936
Enzyme
Pathway
rn00901  Indole alkaloid biosynthesis
rn01100  Metabolic pathways
rn01110  Biosynthesis of secondary metabolites
Module
M00980  Strychnine biosynthesis, geissoschizine => strychnine
Brite
Enzymatic reactions [BR:br08201]
 1. Oxidoreductase reactions
  1.14  Acting on paired donors, with incorporation or reduction of molecular oxygen
   1.14.19  With oxidation of a pair of donors resulting in the reduction of O2 to two molecules of water
    1.14.19.80
     R13329  3,17-Didehydrostemmadenine <=> 17-Dehydropreakuammicine + H+
Orthology
K27780  (19E)-geissoschizine oxidase [EC:1.14.19.80]
Reference
1  [PMID:35794473]
  Authors
Hong B, Grzech D, Caputi L, Sonawane P, Lopez CER, Kamileen MO, Hernandez Lozada NJ, Grabe V, O'Connor SE
  Title
Biosynthesis of strychnine.
  Journal
Nature 607:617-622 (2022)
DOI:10.1038/s41586-022-04950-4
LinkDB

KEGG   REACTION: R13382
Entry
R13382                      Reaction                               
Definition
17-Dehydropreakuammicine + H2O <=> 17-Dehydropreakuammicine hydrate
Equation
Comment
spontaneous
the third step of four-step reaction (see R13381, R13342+R13329+R13382+R13331)
Enzyme
Pathway
rn00901  Indole alkaloid biosynthesis
rn01110  Biosynthesis of secondary metabolites
Brite
Enzymatic reactions [BR:br08201]
 1. Oxidoreductase reactions
  1.14  Acting on paired donors, with incorporation or reduction of molecular oxygen
   1.14.19  With oxidation of a pair of donors resulting in the reduction of O2 to two molecules of water
    1.14.19.80
     R13382  17-Dehydropreakuammicine + H2O <=> 17-Dehydropreakuammicine hydrate
Orthology
K27780  (19E)-geissoschizine oxidase [EC:1.14.19.80]
LinkDB

KEGG   REACTION: R13331
Entry
R13331                      Reaction                               
Definition
17-Dehydropreakuammicine hydrate <=> Akuammicine + Formate
Equation
Comment
spontaneous
the last step of four-step reaction (see R13381, R13342+R13329+R13382+R13331)
Enzyme
Pathway
rn00901  Indole alkaloid biosynthesis
rn01110  Biosynthesis of secondary metabolites
Brite
Enzymatic reactions [BR:br08201]
 1. Oxidoreductase reactions
  1.14  Acting on paired donors, with incorporation or reduction of molecular oxygen
   1.14.19  With oxidation of a pair of donors resulting in the reduction of O2 to two molecules of water
    1.14.19.80
     R13331  17-Dehydropreakuammicine hydrate <=> Akuammicine + Formate
Orthology
K27780  (19E)-geissoschizine oxidase [EC:1.14.19.80]
Reference
1  [PMID:35794473]
  Authors
Hong B, Grzech D, Caputi L, Sonawane P, Lopez CER, Kamileen MO, Hernandez Lozada NJ, Grabe V, O'Connor SE
  Title
Biosynthesis of strychnine.
  Journal
Nature 607:617-622 (2022)
DOI:10.1038/s41586-022-04950-4
LinkDB

DBGET integrated database retrieval system