KEGG   REACTION: R13382
Entry
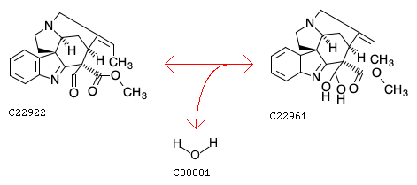
R13382                      Reaction                               
Definition
17-Dehydropreakuammicine + H2O <=> 17-Dehydropreakuammicine hydrate
Equation
Comment
spontaneous
the third step of four-step reaction (see R13381, R13342+R13329+R13382+R13331)
Enzyme
Pathway
rn00901  Indole alkaloid biosynthesis
rn01110  Biosynthesis of secondary metabolites
Brite
Enzymatic reactions [BR:br08201]
 1. Oxidoreductase reactions
  1.14  Acting on paired donors, with incorporation or reduction of molecular oxygen
   1.14.19  With oxidation of a pair of donors resulting in the reduction of O2 to two molecules of water
    1.14.19.80
     R13382  17-Dehydropreakuammicine + H2O <=> 17-Dehydropreakuammicine hydrate
Orthology
K27780  (19E)-geissoschizine oxidase [EC:1.14.19.80]
LinkDB

DBGET integrated database retrieval system