KEGG   ORTHOLOGY: K00143
Entry
K00143                      KO                                     
Symbol
LYS2
Name
L-2-aminoadipate reductase [EC:1.2.1.95]
Pathway
map00300  Lysine biosynthesis
map01100  Metabolic pathways
map01110  Biosynthesis of secondary metabolites
map01230  Biosynthesis of amino acids
Module
M00030  Lysine biosynthesis, AAA pathway, 2-oxoglutarate => 2-aminoadipate => lysine
Reaction
R03098  L-2-aminoadipate-6-semialdehyde:NADP+ 6-oxidoreductase
R04390  L-2-aminoadipate-6-semialdehyde:NADP+ 6-oxidoreductase
R04863  L-2-aminoadipate-6-semialdehyde:NADP+ 6-oxidoreductase
R11679  (S)-2-amino-6-oxohexanoate:NADP+ oxidoreductase (ATP-forming)
Brite
KEGG Orthology (KO) [BR:ko00001]
 09100 Metabolism
  09105 Amino acid metabolism
   00300 Lysine biosynthesis
    K00143  LYS2; L-2-aminoadipate reductase
Enzymes [BR:ko01000]
 1. Oxidoreductases
  1.2  Acting on the aldehyde or oxo group of donors
   1.2.1  With NAD+ or NADP+ as acceptor
    1.2.1.95  L-2-aminoadipate reductase
     K00143  LYS2; L-2-aminoadipate reductase
Other DBs
COG: COG1020 COG3320
Genes
SCE: YBR115C(LYS2)
SEUB: DI49_1147
SPAO: SPAR_B02160
AGO: AGOS_ADL346W
ERC: Ecym_3457
KLA: KLLA0_B09218g
KMX: KLMA_80299(LYS2)
LTH: KLTH0F10384g
VPO: Kpol_1006p6
ZRO: ZYRO0C16566g
CGR: 2890361(GVI51_K07667)
NCS: NCAS_0I01040(NCAS0I01040)
NDI: NDAI_0A07970(NDAI0A07970)
TPF: TPHA_0A03520(TPHA0A03520)
TBL: TBLA_0H01500(TBLA0H01500)
TDL: TDEL_0C05110(TDEL0C05110)
KAF: KAFR_0D02630(KAFR0D02630)
KNG: KNAG_0B01430(KNAG0B01430)
PIC: PICST_68020(LYS2)
SPAA: SPAPADRAFT_145301(LYS2)
LEL: PVL30_001487(LYS2)
LBG: 92208092(LODBEIA_P28960)
CAL: CAALFM_C102820WA(LYS2)
CTEN: 18249543(LYS2)
ASAU: 88172377(PUMCH_001311)
YLI: 2912394(YALI2_E00144g)
SLB: AWJ20_3018(LYS2)
NCR: NCU03010(lys-3)
NTE: NEUTE1DRAFT126732(NEUTE1DRAFT_126732)
SMP: 10810014(SMAC4_01210)
PBEL: QC761_105110(LYS2)
PPSD: QC762_105110(LYS2)
PPSP: QC763_105110(LYS2)
PPSA: QC764_105110(LYS2)
RTHE: 98128728(VTJ83DRAFT_728)
MGR: MGG_02611
PGRI: PgNI_10816
SSCK: SPSK_02958
TATV: 25775215(TrAtP1_008831) 25780019(TrAtP1_009880)
TASP: 36607608(TrAFT101_002608)
MAW: 19253986(LYS2_8)
MAJ: MAA_03758
MBRN: 26245502(lys2)
UVI: 66064704(UV8b_03926)
CMT: CCM_03390
PLJ: 28891341(PLICBS_010574)
PTKZ: JDV02_004246(LYS2)
DCON: 63718643(DCS_06000)
CDET: 87943470(CDEST_06967)
BFU: BCIN_04g00140(Bclys2)
MBE: MBM_08979
ALUC: AKAW2_51512A(LYS2)
ACHE: ACHE_40446S(LYS2_2)
APUU: APUU_40975S(LYS2)
PPSF: 300795395(PFLUO_LOCUS9049)
CPW: 9691197(LYS2)
ABE: ARB_02279
TVE: TRV_04974
PTE: PTT_09387
PTRR: 6343897(PtrM4_108130)
ADAC: 96089590(ACET3X_009268)
ZTR: MYCGRDRAFT_99148(LYS2)
SPO: 2542079(lys1)
SOM: SOMG_03047(lys1)
CNE: CNG00170
CNB: CNBG4570
CDEU: CNBG_2041
CDEC: 89992202(IAS62_005432)
CTEG: 91991342(I308_104486)
CBAS: 91984750(I312_104705)
CDEP: 91085490(L203_101277)
KMG: 30168218(I203_105058)
KNE: 92180493(IAR55_003235)
KDJ: 28969947(I303_106229)
KBI: 30211391(I302_107272)
KPIN: 30172276(I206_105184)
KSH: 87957850(IL334_005720)
KER: 91098860(V865_000056)
KSN: 43585776(CI109_103829)
KBO: 90017809(L199_006825)
KEP: 91095961(L201_005291)
TASA: A1Q1_01219
CCAC: CcaHIS019_0110290(LYS2)
HIR: HETIRDRAFT_66316(lys2)
LBC: LACBIDRAFT_184376(LbLYS1)
ABP: AGABI1DRAFT79561(AGABI1DRAFT_79561)
ABV: AGABI2DRAFT208996(AGABI2DRAFT_208996)
SCM: SCHCO_02637370(SCHCODRAFT_02637370)
MGL: MGL_0235
MRT: MRET_1079
 » show all
Reference
  Authors
Ehmann DE, Gehring AM, Walsh CT
  Title
Lysine biosynthesis in Saccharomyces cerevisiae: mechanism of alpha-aminoadipate reductase (Lys2) involves posttranslational phosphopantetheinylation by Lys5.
  Journal
Biochemistry 38:6171-7 (1999)
DOI:10.1021/bi9829940
  Sequence
[sce:YBR115C]
LinkDB

KEGG   REACTION: R11679
Entry
R11679                      Reaction                               
Name
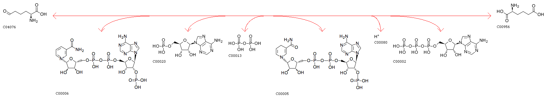
(S)-2-amino-6-oxohexanoate:NADP+ oxidoreductase (ATP-forming)
Definition
L-2-Aminoadipate 6-semialdehyde + NADP+ + AMP + Diphosphate <=> L-2-Aminoadipate + NADPH + H+ + ATP
Equation
Reaction class
RC00080  C00956_C04076
Enzyme
Pathway
rn01230  Biosynthesis of amino acids
Brite
Enzymatic reactions [BR:br08201]
 1. Oxidoreductase reactions
  1.2  Acting on the aldehyde or oxo group of donors
   1.2.1  With NAD+ or NADP+ as acceptor
    1.2.1.95
     R11679  L-2-Aminoadipate 6-semialdehyde + NADP+ + AMP + Diphosphate <=> L-2-Aminoadipate + NADPH + H+ + ATP
Orthology
K00143  L-2-aminoadipate reductase [EC:1.2.1.95]
Other DBs
RHEA: 46939
LinkDB

DBGET integrated database retrieval system