KEGG   REACTION: R09514
Entry
R09514                      Reaction                               
Name
urate,NADH:oxygen oxidoreductase (5-hydroxyisourate forming)
Definition
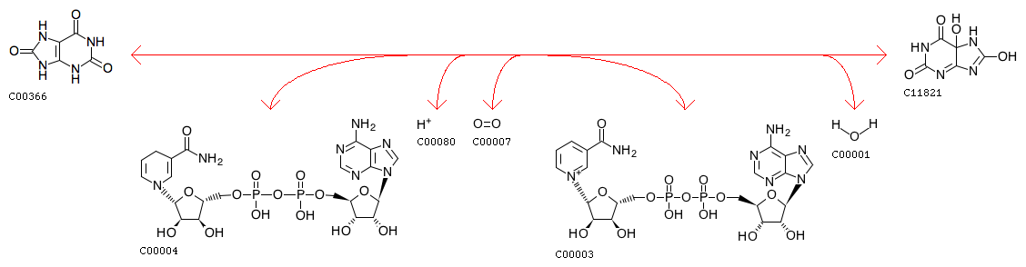
Urate + NADH + H+ + Oxygen <=> 5-Hydroxyisourate + NAD+ + H2O
Equation
Reaction class
RC00001  C00003_C00004
RC02551  C00366_C11821
Enzyme
Pathway
rn00230  Purine metabolism
rn01100  Metabolic pathways
rn01120  Microbial metabolism in diverse environments
Module
M00546  Purine degradation, xanthine => urea
Brite
Enzymatic reactions [BR:br08201]
 1. Oxidoreductase reactions
  1.14  Acting on paired donors, with incorporation or reduction of molecular oxygen
   1.14.13  With NADH or NADPH as one donor, and incorporation of one atom of oxygen into the other donor
    1.14.13.113
     R09514  Urate + NADH + H+ + Oxygen <=> 5-Hydroxyisourate + NAD+ + H2O
Orthology
K16839  FAD-dependent urate hydroxylase [EC:1.14.13.113]
K22879  FAD-dependent urate hydroxylase [EC:1.14.13.113]
Other DBs
RHEA: 27332
LinkDB

DBGET integrated database retrieval system